lc297. Serialize and Deserialize Binary Tree
Serialization is the process of converting a data structure or object into a sequence of bits so that it can be stored in a file or memory buffer, or transmitted across a network connection link to be reconstructed later in the same or another computer environment.
Design an algorithm to serialize and deserialize a binary tree. There is no restriction on how your serialization/deserialization algorithm should work. You just need to ensure that a binary tree can be serialized to a string and this string can be deserialized to the original tree structure.
Clarification: The input/output format is the same as how LeetCode serializes a binary tree. You do not necessarily need to follow this format, so please be creative and come up with different approaches yourself.
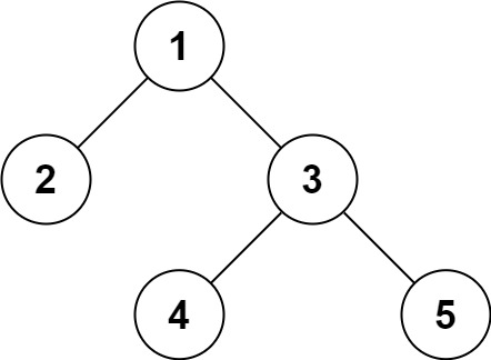
Example 1:

|
|
Example 2:
|
|
Constraints:
- The number of nodes in the tree is in the range
[0, 104]. -1000 <= Node.val <= 1000
解题思路
二叉树的序列化本质上是对其值进行编码,更重要的是对其结构进行编码。可以遍历树来完成上述任务。众所周知,我们一般有两个策略:广度优先搜索和深度优先搜索。
广度优先搜索可以按照层次的顺序从上到下遍历所有的节点 深度优先搜索可以从一个根开始,一直延伸到某个叶,然后回到根,到达另一个分支。根据根节点、左节点和右节点之间的相对顺序,可以进一步将深度优先搜索策略区分为: 1. 先序遍历 2. 中序遍历 3. 后序遍历
如Example 1的树,采用先序遍历我们可以得到字符串: 1, 2, None, None, 3, 4, 5
None表示子节点不存在,因此该字符串就保留了树的结构。
该序列化方法的时间复杂度为O(N),因为我们只会访问每个节点一次。空间复杂度也为O(N).
反序列化的过程我们先把字符串根据“,”拆分,然后从左往右遍历元素。
序列化函数和反序列化函数都可以用递归思想。
|
|